Product name:Ethyl 2-bromothiazole-4-carboxylate
MF:C6H6BrNO2S

MW: 236.09
Cas No.:100367-77-9
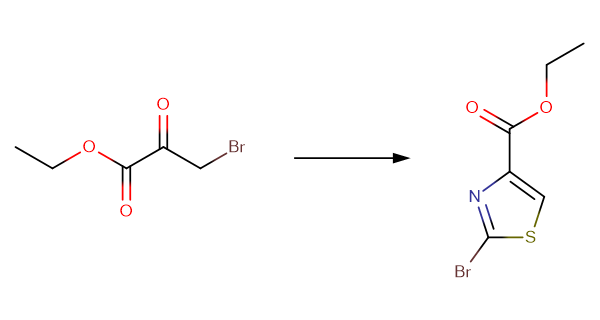
Structure:

Purity:95%

Appearance:yellow solid

Product use:Basic raw materials, organic intermediates, pharmaceutical intermediates

The synthesis process is as follows:
sulfuric acid; sodium bromide; sodium nitrite; ethanol; water; copper(II) sulfate

Reactants are commercially availlable.
Organic Letters, vol. 9, 8, (2007), p. 1605 - 1607